空压机的热回收,你了解吗?
2023-04-20 11:29:30
空压机运行时会产生大量的压缩热,通常这部分能量通过机组的风冷或水冷系统释放到大气当中。压缩机的热回收是持续降低空气系统损耗,提高客户生产力的必要手段。余热回收的节能技术目前研究很多,但大多只针对喷油螺杆式空压机的油路改造而言。我们将通过对几种典型空压机的工作原理和余热回收系统特点进行详细介绍,更加丰富地了解空压机余热回收的途径和形式,可以更好地进行余热回收,降低企业的能源费用,达到节能环保的目的。
现将几种典型的空压机余热回收形式分别介绍:
一、喷油螺杆空压机余热回收分析
1.1 喷油螺杆空压机工作原理分析
喷油螺杆空压机是目前市场上占有率较高的一种空压机类型,其工作原理见图1。
<图1 喷油螺杆空压机运行流程图>
喷油螺杆空压机的油有三个作用:冷却-吸收压缩热、密封和润滑。
气路:外部空气通过空气过滤器进入机头经过螺杆压缩后,油气混合物由排气口排出,经过管路系统和油气分离系统,进入空气冷却器,将高温的压缩空气降低到可接受的程度。
油路:油气混合物由主机出口排出,在油气分离筒体内冷却油与压缩空气分离后进入油冷却器,将高温油的热量带走,冷却后的油经过相应的油路重新喷入主机,进行冷却、密封和润滑。如此反复。
1.2喷油螺杆空压机余热回收原理
喷油螺杆空压机余热回收的示意图和流程图见图2 和图3。
*空压机散热原理
*空压机余热回收原理
<图2 喷油螺杆空压机余热回收示意图>
<图3 喷油螺杆空压机余热回收流程图>
由图2、图3 可见,经压缩机头压缩形成的高温高压油气混合物在油气分离器中被分离,通过对油气分离器出油管路进行改造,将高温油引入一热交换器,热交换器旁通阀实时对进入热交换器和旁通管的油量进行分配,从而保证回油温度不低于空压机回油保护温度,热交换器水侧的冷水与高温油进行热交换,被加热后的热水可以用于生活热水、空调采暖、锅炉进水预热、工艺用热水等。
1.3一次换热余热回收
喷油螺杆空压机的余热回收系统形式较多,下面列举两种最常见的系统。
<图4 喷油螺杆空压机的一次换热系统流程图>
由上图可见,保温水箱中的冷水通过循环水泵直接与空压机内部的能量回收装置进行换热,然后回到保温水箱。此种系统的特点是设备少,换热效率高。但必须注意的是,需要选择材质较好的能量回收装置,且需定期清洗,否则容易由于高温结垢而引起堵塞或者换热装置发生泄漏污染应用端。
1.4二次换热余热回收
<图5 喷油螺杆空压机的二次换热系统流程图>
由图可见,此系统进行两次换热,与能量回收装置换热的一次侧系统为闭式系统,二次侧系统可以为开式系统,也可以为闭式系统。一次侧的闭式系统,采用纯水或蒸馏水循环,可以减少由于水结垢对能量回收装置造成的损坏。万一换热器损坏,应用端的加热介质不会被污染。
1.5喷油螺杆空压机加装热能回收装置的优点
喷油螺杆空压机安装了热能回收装置之后,会有如下好处:
⑴、停止空压机自身的冷却风机或减少风机的运行时间。
热能回收装置要用到循环水泵,水泵电机要消耗一定量的电能,但是在空压机主机的排气口温度未达到80~95℃时(可以在这个范围内进行设定),空压机自身冷却风机是不工作的,这个风机的功率一般要比循环水泵的功率大4~6 倍,因此风机一停,比循环泵的用电要节能4~6 倍。另外,因为油温可以得到很好的控制,所以机房的排风扇就可以少开或完全不开,这又可以节能。
⑵、将余热转换为热水,不需要任何额外能耗。
⑶、增加空压机的排气量。
由于空压机的运行温度可以被回收装置有效地控制在80℃~95℃的范围内,机油的浓度可以保持较好,空压机的排气量就会增加,增加量为2%~6%,这一点也相当于节约了能源。这对夏季运行的空压机尤为重要,因为一般到了夏季,环境温度较高,油温往往可升至100℃左右,机油变稀,气密性变差,排气量就要减少。因此热能回收装置在夏季更能彰显出它的优势。
02
二、无油螺杆空压机余热回收
2.1无油螺杆空压机工作原理分析
空气压缩机等温压缩时最省功,所消耗的电能主要转化为空气的压缩势能,可按式(1)进行计算:
Pin=mRgT01n(P2 /P0)+P 幅+P 传动(1)
Pin=ρQRgT01n(P2 /P0)+P 幅+P 传动(2)
式中:
m—空压机的空气质量流量,kg/s;
Rg—气体常数,空气为287J /(kg·K);
T0—吸气温度,K;Q—气体体积流量,m3/s;
P0—吸气压力,Pa;P2 —排气压力,Pa;
P 幅—空压机的热辐射耗功,Pa;
P 传动—空压机的传动耗功,W;
ρ———空气密度,kg/m3。
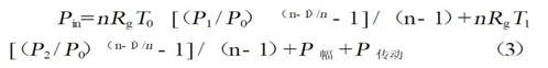
由于没有喷油的冷却作用,无油螺杆空压机的工作过程近似为绝热压缩过程。有级间冷却的两级无油螺杆压空机,相对省功。含有水套或油套的螺杆主机,工作过程指数略低于等熵绝热指数,约为1.3。空压机功耗可按式(3)计算:
式中:
n—过程指数;
Rg ———气体常故,空气为 287J /kg·k
T0,T1— 一、二级吸气温度,K;
P0 — 一级吸气压力,Pa;
P1,P2— 一、二级排气压力,Pa;
P 幅—空压机的热辐射功耗,W;
P 传动—空压机的传动功耗,W。
无油螺杆空压机相对于喷油空压机,更具有余热回收的潜能。
由于没有油的冷却作用,使得压缩过程更偏离等温压缩,而导致大部分的功率转化成压缩空气的压缩热,这也是导致无油螺杆空压机排气温度过高的原因。将这一部分热能回收,用于用户的工业用水、预热器和浴室用水等,将会大大降低工程的能源消耗,从而实现低碳和环保。
<图6 无油螺杆空压机的能量分布图>由上图可以看出,理论上水冷无油螺杆空压机的产热可以100%进行回收。
2.2无油螺杆空压机余热回收
<图7 无油螺杆空压机的能量回收空压机内部流程图>
如图所示,冷水依次经过油冷却器,高压压缩系统,低压压缩系统,中间冷却器以及后冷却器进行换热,其中,油冷却器须加大。
03
三、基本原理
3.1离心式空压机工作原理分析
离心式空气压缩机是由叶轮带动气体做高速旋转,使气体产生离心力,由于气体在叶轮里的扩压流动,从而使气体通过叶轮后的流速和压力得到提高,连续地生产出压缩空气。离心空压机主要由转子和定子两大部分组成。转子包括叶轮和轴。叶轮上有叶片,此外还有平衡盘和轴封的一部分。定子的主体是机壳(气缸),定子上还安排有扩压器、弯道、回流器、迸气管、排气管及部分轴封等。离心压缩机的工作原理为,当叶轮高速旋转时,气体随着旋转,在离心力作用下,气体被甩到后面的扩压器中去,而在叶轮处形成真空地带,这时外界的新鲜气体进入叶轮。叶轮不断旋转,气体不断地吸入并甩出,从而保持了气体的连续流动。离心式空压机依靠动能的变化来提高气体的压力。当带叶片的转子(即工作轮)转动时,叶片带动气体转动,把功传递给气体,使气体获得动能。进入定子部分后,因定子的扩亚作用速度能量压头转换成所需的压力,速度降低,压力升高,同时利用定子部分的导向作用进入下一级叶轮继续升压,最后由蜗壳排出。对于每一台压缩机,为了达到设计需要压力,每台压缩机都设有不同数量的级数和段数,甚至有几个缸体组成。
3.2 离心式空压机余热回收流程
离心机一般经过三级压缩,一二级压缩空气由于受到出口温度和压力的影响,不宜进行余热回收,一般对第三级压缩空气进行余热回收,需要增加一个空气后冷却器,如图8 所示,在用热端不需要用热的时候,对压缩空气进行冷却,不影响系统的运行。
<图8 离心式空压机热能回收流程图>
04
3.4水冷式空压机的另外一种余热回收途径
对于水冷式喷油螺杆机、无油螺杆机、离心机等空压机而言,除了对其内部结构改造进行余热回收以外,还可以不改动其本体结构,直接对冷却水管路进行改造实现余热回收。
① 水冷式空压机余热回收
<图9 水冷式空压机水源热泵余热回收简图>
由图可见,通过在空压机冷却水出水管路上加装二次泵把冷却水引入水源热泵主机,主机蒸发器进口的温度传感器对电动三通调节阀实时进行调节,控制蒸发器的进口温度在某一设定值,通过水源热泵机组就可以制取50~55℃的热水。如果没有高温热水需求,还可以在空压机循环冷却水路中串联一个板式换热器,高温冷却水与来自软水箱的软水进行换热,既降低了内部水温,又提高了外部水温。被加热的水在蓄热水箱处储存,然后再输送到热网,用到需要低温热源之处,如图10 所示。
<图10 水冷式空压机余热回收简图>
当冷却水热量被利用后,水冷却器的负荷大大降低,甚至不再需要冷却塔。但为了保证系统运行安全可靠,一般仍会保留冷却塔,只是在冷却塔的入口和出口管道上加装了处于常闭状态的控制阀门。控制阀门采用温度控制,一旦废热回收系统出现故障后,内部水温上升到限定温度,则阀门打开,使原有的冷却塔降温系统投入使用,确保了空压机能可靠冷却。
① 水冷式空压机余热回收分析
直接对空压机冷却水管路进行改造简单方便,且不对空压机本体结构改造,可以减少改造风险,增加了余热回收系统运行的可靠性。
结束语空压机运行产生的热量,如果不释放掉,可引起电机高温及排气高温,不但影响空压机的使用寿命,更影响压缩空气的质量。如直接由冷却系统将热量排放,不但浪费了能源,更会造成热污染。
综上所述,为了提高阀的使用寿命、稳定性、正常调节等工作性,调节阀应避免在小开度工作,通常应大于10%~15%。但对高压阀、双座阀、蝶阀、处于流闭状态的调节阀来说,应大于20%(线性阀)~30%(对数阀)。
2、当阀选大了或工艺条件变化时,调节阀经常在小开度下工作,此时如何加以解决?
①降低阀上压差ΔP。由方程式Q=C√ΔP/P可知,当ΔP减小时,Q也减小,为了保持通过调节阀的流量不变,就要增大阀的开度,这样可避免阀在小开度下工作。具体方法如下:
a、在阀后加限流孔板消耗一部分压降;
b、关闭管路上串联的手动阀,至调节阀获得较大理想的工作开度为止。
这两种办法都是增大管路上的压降,以减小阀上压降,因为系统总压降ΔP系统=阀上压降ΔP阀+管路压降ΔP管路。由于ΔP系统不变,当ΔP管路增大时,ΔP阀必然减小。
②缩小口径由Q=C√ΔP/P可知,C值减小,Q也减小,为保持通过阀的流量不变,就必然要加大开度,这样也可避免阀在小开度工作。C值与阀的口径DN、阀座直径dN有关。减小C值的办法是:
a、换一台小档口径的阀,如将DN32换成DN25;
b、阀体不变,换小档DN的阀芯阀座,如将DN10换成DN8。
当调节阀处于小开度工作时,可能会出现以下问题:
1. 易受堵塞: 在小开度下,流体流速较慢,容易使流体中的颗粒沉积在调节阀的流道中,导致阀门堵塞或卡死。
2. 流量控制不稳定: 在小开度情况下,调节阀的流量控制可能变得不够稳定,容易受到外部干扰或内部因素的影响,导致流量波动或不准确。
3. 闪蒸和振荡: 当流体在小开度情况下通过调节阀时,可能会出现闪蒸现象,从而导致流体压力和温度剧烈变化,还可能引起阀门振荡。
对策包括:
1. 选择合适的阀门类型: 对于需要在小开度下工作的情况,可以选择一些专门设计用于小流量的调节阀,如微调节阀,以减少堵塞的可能性。
2. 增加过滤器和网孔: 可以安装过滤器或者网孔,来防止颗粒物进入调节阀的流道,减少堵塞的风险。
3. 优化阀门的设计和材料: 设计合理、材料耐腐蚀的阀门结构,可以降低对于颗粒物堵塞的敏感度。
4. 增加阀门的承受范围: 结合调节阀和控制系统,可以增加阀门的承受范围,从而提高在小开度下的控制精度和稳定性。
5. 增强检修和维护: 定期检查并维护调节阀,及时清理管道和过滤器,可以减少堵塞的风险。
通过合理选择阀门类型,采取有效的防堵措施以及加强对调节阀的维护和保养,可以有效地解决调节阀在小开度工作时可能出现的问题。
免责声明:文章版权归原作者所有。如涉及作品内容、版权和其它问题,请跟我们联系删除!
2024 07-16
为什么调节阀不能在小开度下工作?
[list:subtitle]
1、为什么调节阀不能在小开度下工作?调节阀在小开度工作时存在着急剧的流阻、流速、压力等变化,会带来如下问题:①节流间隙最小,流速最大,冲刷最厉害,严重影响阀的使用寿命;②急剧的流速、压力变化,超过阀的刚度时,阀稳定性,甚至产生严重振荡;③对于流闭状态下工作的阀,会产生跳跃关闭或跳跃启动现象,调节型阀在
2024 07-08
PCW-工艺冷却水系统
[list:subtitle]
PCW(Process Cooling Water),工艺冷却水系统或制程冷却水系统。工作原理及用途(1)用途:用于冷却工艺设备,带走其产生的热量。(2)系统中冷冻水和冷却水是两个相对独立的系统,冷冻水由冷冻机提供,冷却水与冷冻水进行热交换,从而降低冷却水温度。工艺冷却水系统模式的选择工艺冷却水系统的
2024 07-01
蒸发温度与蒸发压力、冷凝温度与冷凝压力、过冷度与过热度,这次懂了吗?
[list:subtitle]
1、概念:蒸发温度就是制冷剂从液体变为气体的临界温度,在制冷系统中,指的是制冷剂液体在蒸发器中从液体变为气体的饱和温度,一般制冷系统中的蒸发温度是测不出来的,只能用对应的蒸发压力来推导。2、蒸发温度与蒸发压力关系:蒸发压力(低压)越低,蒸发温度也就越低;蒸发压力(低压)越高,蒸发温度也就越高。可
2024 06-24
带你了解吸附式干燥机
[list:subtitle]
一、定义:吸附式干燥机是一种常用于去除空气中湿气的设备,吸附式干燥机是利用吸附剂(活性氧化铝、硅胶、分子筛)吸附水分的特性来降低压缩空气中水分的含量,吸附式干燥机用于压力露点要求在零度(0℃)以下的场合。它能达到冷冻式干燥机远远不能达到的干燥效果。二、工作原理:其工作原理基于吸附剂的吸湿和再生过程。下面
2024 06-05
锂离子电池制片过程掉粉的分析与讨论
[list:subtitle]
极片掉粉目前钴酸锂的生产工艺,基本上不会掉粉,掉粉的可能性在生产过程中影响的因素有:1、配方比例不当,如粘接剂太少,容剂少致使搅拌不均匀。2、粘接剂烘烤温度过高,使粘接剂结构受到破坏,。3、浆料搅拌时间不够,没有完全搅拌开,4、涂布时温度太低,极片未烘干。5、涂布量不均匀,厚度差异太大。6、极片在辊
2024 05-27
冷凝温度、蒸发温度与吸气过热度:影响制冷效果的重要因素
[list:subtitle]
1、过热度过热度定义为低压侧制冷剂蒸汽与感温包内蒸汽间的温差。测量方法包括在尽量接近感温包位置测量蒸发压力并转换为温度值,然后用感温包实际检测到的温度减去该转换温度,理想的过热度一般维持在5至8摄氏度。2、过冷度过冷度则是冷凝过程中的一个重要概念,它表示的是冷凝器中冷凝压力对应的饱和液体温度与冷凝器出口
2024 05-20
什么是冷却塔免费供冷?空调免费冷系统如何设计选择?一次讲清楚
[list:subtitle]
什么是冷却塔免费冷系统冷却塔免费供冷就是在常规水冷空调系统中通过增加旁通管路、板式换热器等设备,在室外湿球温度低于某个值以下时,关闭制冷主机,利用流经冷却塔的冷却水直接或通过板式换热器间接向空调末端供冷,承担建筑所需的冷负荷。 冷却塔免费供冷能够利用自然冷源,满
2024 05-13
转轮热回收和除湿应用
[list:subtitle]
2024 05-04
工艺冷却水系统(PCW)介绍
[list:subtitle]
1序言冷却水系统的应用非常广泛,涉及各类工业生产活动,包括半导体、微电子、火电厂中汽轮机排气冷凝、大型中央空调、煤化工、石化厂、天然气管道降温等。工艺冷却水系统主要用于泛半导体、微电子等行业中关键制程设备的间接冷却。分为开式系统和闭式系统。本篇就工艺冷却水系统构成及部件作用、工作原理及用途、系统控制及
2023 03-27
空调箱,你了解吗?
[list:subtitle]
空调箱也称组合式空调机组,是一种专门用于处理空气的设备,有对空气的降温冷却、去湿干燥、加热加湿、过滤净化、送风回风及引入新风等功能。主要用于工业、医药卫生、大、中型建筑物,如宾馆饭店、豪华商业设施、体育娱乐中心等场所。 空调箱分类:按结构形式分类:a)卧式;b
2023 03-07
你了解冷却塔吗?
[list:subtitle]
冷却塔是利用空气同水的接触(直接或间接)来冷却水的设备。
2023 03-07
这,就是离心式压缩机!
[list:subtitle]
作为制冷人,对于离心式压缩机我们并不陌生。但关于离心式压缩机的全方位知识,我们真的都了解吗?不一定。今天我们就来一起重新认识一下离心式压缩机!